Features & Amenities

Interior

  • Total Bedrooms

    N/A

  • Bathrooms

    N/A

  • Pet friendly

    N/A

Exterior

  • Garage

    No

  • Pool

    No

Area & Lot

  • Lot Size(acres)

    15.0

  • Property Type

    Land

Price

  • Sales Price

    $53,400

  • Zoning

    Residential Acreage

  • Sq. Footage

    N/A

  • Price/SqFt

    N/A

HOA

  • Association

    No

School District

  • Elementary School

    Unspecified

  • Middle School

    Unspecified

  • High School

    Unspecified

Property Features

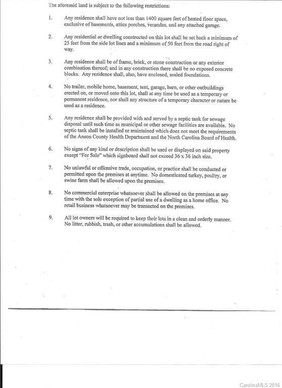
  • Sewer

    Septic Tank

Schedule a Showing

Showing scheduled successfully.

<
>
IN PERSON
VIA CHAT

What is 3 + 4 ?


Change time

Mortgage calculator

Estimate your monthly mortgage payment, including the principal and interest, property taxes, and HOA. Adjust the values to generate a more accurate rate.

Your payment

Principal and Interest:

$

Property taxes:

$

HOA fees:

$

Total loan payment:

$

Total interest amount:

$

Location

County

Anson

Elementary School

Unspecified

Middle School

Unspecified

High School

Unspecified

Listing Courtesy of Donald Scarborough , Plank Road Realty

RealHub Information is provided exclusively for consumers' personal, non-commercial use, and it may not be used for any purpose other than to identify prospective properties consumers may be interested in purchasing. All information deemed reliable but not guaranteed and should be independently verified. All properties are subject to prior sale, change or withdrawal. RealHub website owner shall not be responsible for any typographical errors, misinformation, misprints and shall be held totally harmless.

Agent Kornelije Josić

The Boss

Kornelije Josić

Call Kornelije today to schedule a private showing.


* Listings on this website come from the FMLS IDX Compilation and may be held by brokerage firms other than the owner of this website. The listing brokerage is identified in any listing details. Information is deemed reliable but is not guaranteed. If you believe any FMLS listing contains material that infringes your copyrighted work please click here to review our DMCA policy and learn how to submit a takedown request.© 2024 FMLS.
15 Quiet country acres on desirable Cameron Road in western Anson County.   Country restrictions baring commercial use and mobile homes.  Perfect home site and pond site.  Call for details1

01 Cameron Road

Message successfully sent.

What would you like to know?

What is 3 + 4 ?

 - property

Send a message

Message successfully sent.

Your message

What is 3 + 4 ?

Reason for contacting?

Sign Out

Virtual Assistant

Would you like to take the next step with this property? We can help you schedule a showing or virtual tour, or send you more details.

Yes, I would like more information.

Thank You for Your Reply, One of Our Agents will contact you as soon as possible

No, maybe later.

Thank you, you can always contact me via email, phone number or through the contact form.

Realhub AI

Lucy - Your AI-Powered Realtor

Update Your Temporary Password

Personalize your search

Enter your email and we'll notify you immediately when new listings match what you're looking for.

or enter email address

Already have an account ? Login here

Continue your home search

Already have an account ? Login here

We use cookies

We use cookies primarily for analytics to enhance your experience. By accepting, you agree to our use of these cookies. You can manage your preferences or learn more about our cookies policy.